Los datos
Lo que no se mide no cuenta...
Conservación de la Biodiversidad en México
Introducción
En México, el gobierno federal, por medio de la Secretaría de Medio Ambiente y Recursos Naturales y sus diversos organismos, lleva a cabo la conservación de la biodiversidad a través de dos principales estrategias:
1. Creación de áreas naturales protegidas: esta vía se enfoca en resguardar los hábitats donde habitan las distintas especies, asegurando que las condiciones naturales permanezcan adecuadas para su supervivencia.
2. Instalaciones específicas para protección de especies, tales como criaderos, zoológicos, viveros y proyectos de aprovechamiento destinados a la comercialización de especies, buscando así mantener y aumentar las poblaciones de especies bajo condiciones controladas.
Áreas Naturales Protegidas
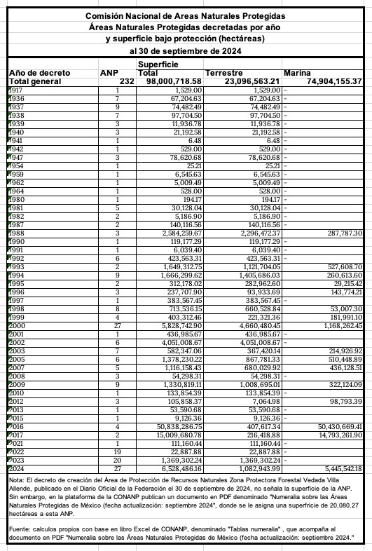
En la primera estrategia, de manera agregada, México cuenta a la fecha, con un total de 2,065 áreas protegidas a lo largo del territorio nacional, las cuales cubren un total de poco mas de 104 millones de hectáreas. Las cifras incluyen áreas bajo administración federal, estatal, municipal y de particulares, en las 32 entidades federativas del pais. (Ver el cuadro siguiente).
Conservación de Especies: UMAS
La segunda estrategia se lleva a cabo a través de las Unidades de Manejo para la Conservación de la Vida Silvestre (UMAS). Según datos obtenidos en el Sistema Nacional de Información Ambiental y de Recursos Naturales, se tiene un registro de 2 mil 772 UMAS, que cubren 405,903 hectáreas registradas bajo este esquema. (Ver datos más abajo)


Las Áreas Naturales Protegidas
Las áreas naturales protegidas son espacios o zonas del territorio nacional donde los ambientes originales no han sido significativamente alterados por la actividad del ser humano, o que sus ecosistemas y funciones integrales requieren ser restauradas y preservadas. De acuerdo con el artículo 44 de la Ley General del Equilibrio Ecológico y Protección al Ambiente, se establecerán en aquellas zonas de del país donde la Nación ejerce soberanía y jurisdicción.
Objetivos de las Áreas Naturales Protegidas
Preservar ambientes naturales representativos del país y los ecosistemas más frágiles para asegurar el equilibrio y la continuidad de los procesos evolutivos y ecológicos.
Salvaguardar la diversidad genética de las especies, asegurar la preservación y aprovechamiento sustentable de la biodiversidad del territorio nacional.
Preservar de manera particular especies endémicas, raras o que se encuentren en alguna categoría de riesgo.
Proporcionar un campo para la investigación científica, el estudio de los ecosistemas y su equilibrio.
Generar, rescatar y divulgar conocimientos que permitan la preservación y aprovechamiento sustentable.
Proteger todo aquello ubicado en los alrededores de zonas forestales en montañas donde se origine el ciclo hidrológico en cuencas, ya sea poblados, vías de comunicación, aprovechamientos agrícolas entre otros.
Proteger áreas de importancia para la recreación, cultura, identidad nacional o de los pueblos indígenas, como las zonas arqueológicas, que se encuentren en los alrededores de la zona protegida.
Para el manejo de los ecosistemas a conservar y proteger, la Ley General del Equilibrio Ecológico establece siete categorías de manejo de los ecosistemas, que son competencia del Gobierno Federal:
Reservas de la Biosfera
Parques Nacionales
Áreas de Protección de Flora y Fauna
Áreas de Protección de Recursos Naturales
Monumentos Naturales
Santuarios
Áreas Destinadas Voluntariamente a la Conservación
El artículo 46 de la Lgeepa, señala dos categorías adicionales de áreas protegidas: los Parques y Reservas Estatales, así como las demás categorías que establezcan las legislaciones locales, y las zonas de conservación ecológica municipal, así como las demás categorías que establezcan las legislaciones locales, que se mencionan más adelante. .
A la fecha, el gobierno federal ha decretado 232 Áreas Naturales Protegidas, las cuales cubren 98 millones 719 mil hectáreas.
Mas adelante exponemos los cuadros de la superficie protegida por año, desde la creación del primer Parque Nacional Desierto de los Leones en 1917, hasta la fecha.
Para mayor información sobre las áreas protegidas federales puede recurrir a la siguiente liga, sitio oficial de la Conanp. https://simec.conanp.gob.mx/numeralia.php




Las áreas destinadas voluntariamente a la conservación
Las áreas destinadas voluntariamente a la conservación (ADVC) son espacios que sus propietarios, empresas particulares, comunidades, pequeños propietarios, ejidos, han destinado para la conservación de la biodiversidad en sus territorios.
En 1988 se reforma la Ley General del Equilibrio Ecológico y la Protección al Ambiente (DOF, 1998) y se establece en el artículo 59 que pueblos indígenas, organizaciones sociales, personas morales, públicas o privadas, podrán destinar voluntariamente los predios que les pertenezcan a acciones de preservación de los ecosistemas y su biodiversidad. Para tal efecto, podrán solicitar a la Secretaría el reconocimiento respectivo, mediante la emisión del certificado.
Aquí les mostramos los números de las ADVC registradas en la Comisión Nacional de Áreas Naturales Protegidas.


Las áreas protegidas estatales y municipales


Solicitudes de Información a Gobiernos Estatales y Municipales
Con el objetivo de conocer la dimensión de la superficie protegida en el país bajo la modalidad de Áreas Protegidas, se solicitó información a los gobiernos estatales a través del Portal de Transparencia, sobre el número, superficie y fecha de creación de todas y cada una de las áreas protegidas en su entidad, tanto las que están bajo su jurisdicción, como las que corresponden al ámbito municipal.
Otras Áreas Protegidas Incorporadas
En las respuestas recibidas, los gobiernos incluyeron no solo las áreas estatales y en algunos casos las municipales, sino también otras zonas protegidas. Estas áreas adicionales las agrupamos en el concepto de “privadas y comunitarias”.
Advertencia sobre la Duplicidad de Registros: es importante señalar que algunas de estas áreas privadas y comunitarias podrían ya estar incluidas en el listado de ADVC registradas por la Comisión Nacional de Áreas Naturales Protegidas (CONANP). Por lo tanto, se advierte sobre la posible duplicidad de registros entre las fuentes estatales, municipales y federales.
Unidades para la conservación de la vida silvestre (UMAS)
Esta estrategia se lleva a cabo bajo el marco del Sistema Nacional de Unidades de Manejo para la Conservación de la Vida Silvestre (SUMA), creado en 1997.
Las UMAs comprenden predios o instalaciones que, de manera voluntaria, los promoventes —sean particulares, organizaciones civiles, empresas o comunidades— destinan al manejo sustentable de la vida silvestre, conforme a lo establecido por el SUMA.
La normativa vigente exige la elaboración de un Plan de Manejo aprobado por la Secretaría de Medio Ambiente y Recursos Naturales (SEMARNAT), en el cual se especifican las actividades destinadas al monitoreo y/o manejo de las especies bajo protección y/o aprovechamiento.
Características y objetivos de las UMAs
· Conservación y uso sustentable: Su propósito central es conservar la biodiversidad, permitiendo a la vez el aprovechamiento sustentable de las especies presentes en cada predio.
· Promoción de esquemas alternativos: Constituyen espacios para el desarrollo de actividades productivas compatibles con la conservación ambiental, contribuyendo a mitigar o revertir el deterioro ecológico.
· Diversificación de actividades: Pretenden generar oportunidades de empleo e ingresos para las comunidades rurales, revalorizar la diversidad biológica y mantener los servicios ecosistémicos.
· Marco regulatorio: La SEMARNAT, a través de la Dirección General de Vida Silvestre (DGVS), es la instancia responsable de la regulación y supervisión de las UMAs.
De acuerdo con la información más actualizada sobre el número de UMAs existentes en el país y la superficie que protegen, procedente del Sistema Nacional de Información Ambiental y de Recursos Naturales de Semarnat, presentamos el suguiente cuadro con datos desde 1992 a 2024. Para el año 2025, según Informe de Primer Año 2024-2025 de la Secretaría de Medio Ambiente y Recursos Naturales, se registran los siguientes datos: 39.59 millones de hectáreas en 14,944 UMA al 2025.


